상무 센트럴 자이
2023년 5월 26일 금요일.
광주 상무 센트럴 자이 아파트 신규 입주자 모집 공고가 나왔다. 상무 센트럴 자이 아파트 단지는 광주 쌍촌동 내 옛 호남대 광주 캠퍼스 부지를 허물고 GS건설 자이가 시공을 맡아 상무 센트럴 자이 아파트로 분양하는 곳이다. 주변 입지 환경은 나쁘지 않다. 다만, 광주 지역 내 노후된 아파트 재건축 재개발 예정 단지가 많아 수분양자들에게 어떤 메리트를 줄지 지켜봐야 할 것이다. 또 이곳은 내가 자주 가는 곳이기도 한데 교통 취약 구역이다. 출퇴근 시간에 생각 이상의 교통 혼잡과 정체가 상습 된 지역이고 교육환경이 열악한 반면에 광주 도심 메인에 신규 분양이라는 것과 대형 평면으로 구성되었다는 것을 참고해야 한다.
그럼, 상무 센트럴 자이 아파트 분양가, 분양일정, 평면도, 청약 입주자 모집공고 등에 대해서 알아보도록 하겠다.
[ 인덕원 퍼스비엘 입주자 모집공고 ]

[목차여기]
사업개요
상무 센트럴 자이 아파트 사업개요이다.
상무 센트럴 자이 아파트 단지는 광주 쌍촌동 지역 내 옛 호남대 광주 캠퍼스를 허물고 아파트 주거 단지로 개발하는 곳이다. 위치는 광주 서구 쌍촌동 600번지 일원에 위치해 있다. 아파트 공급 규모는 지하 3층, 지상 30층, 아파트 14개 동으로 총 1,603세대 중 특별 공급 282세대, 일반 분양 621세대이다. 공급 면적은 84㎡ ~ 247㎡ 다양한 타입과 평면으로 구성되어 있다.
- 사업명 : 상무 센트럴 자이
- 대지 위치 : 광수 서구 쌍촌동 600번지 일원
- 공급 규모 : 지하 3층, 지상 30층, 아파트 14개 동
- 공급 세대 : 총 1,603세대(일반 분양 621세대, 특별 공급 282세대)
- 공급 면적 : 84㎡ / 125㎡ / 150㎡ / 185㎡ / 205㎡ / 220㎡ / 247㎡


분양일정
상무 센트럴 자이 아파트 분양일정이다.
금회 공급하는 상무 센트럴 자이 아파트 신규 입주자 모집공고는 2023년 5월 26일 금요일이다. 일반 공급 1순위 청약일은 2023년 6월 7일 수요일이다. 아래, 분양일정을 반드시 참고하기 바란다.
| [ 상무 센트럴 자이 아파트 분양 일정 ] | ||
| 입주자 모집 공고 | 2023년 5월 26일 금요일 | * 한국 부동산원 '청약홈' 및 당사 홈페이지 참고 |
| 모델하우스(견본 주택) 개관 | 2023년 5월 26일 금요일 | |
| 특별 공급 청약 접수 | 2023년 6월 5일 월요일 | |
| 일반 공급 1순위 청약 접수 | 2023년 6월 7일 수요일 | |
| 일반 공급 2순위 청약 접수 | 2023년 6월 8일 목요일 | |
| 아파트 청약 당첨자 발표 | 2023년 6월 14일 수요일 | |
| 아파트 청약 당첨자 서류 접수 기간 | 2023년 6월 15일 목요일 ~ 2023년 6월 21일 수요일 |
* 모델하우스(견본 주택) : 광주 서구 마륵동 162-85번지 |
| 아파트 청약 당첨자 계약 체결 기간 | 2023년 6월 26일 월요일 ~ 2023년 6월 28일 수요일 |
|

공급 · 청약 안내
상무 센트럴 자이 아파트 공급 및 청약 안내이다.
총 세대수 1,603세대 중 일반 공급 세대수는 621세대이다. 공급되는 전용 면적 각 타입별로 일반 공급 세대수는 상이하다는 점을 참고해야 한다.
[ 상무 센트럴 자이 아파트 일반 공급 청약 1순위 조건 ]
- 1 주택 이상 소유한 세대도 1순위 청약 가능
- 만 19세 이상 성년인 자 청약 가능
- 입주자 모집공고일 기준 광주광역시 및 전라남도 거주자 청약 가능
- 청약 통장 가입 후 6개월 이상, 청약 예치금 지역 및 면적별 충족 시 청약 가능
- 전용 면적 85㎡ 이하 가점제 40%, 추첨제 60% 적용
- 전용 면적 85㎡ 초과 추첨제 100% 적용
| [ 상무 센트럴 자이 아파트 요약 정보 ] | |||
| 주택형 (타입 약식 표기) |
주택공급면적(㎡) (주거 전용 + 주거 공용) |
공급 세대수 일반 공급(특별 공급) |
공급 금액 (최고가 기준 - 단위 만 원) |
| 84A | 105.8664 | 100(100) | 92,800 |
| 84B | 105.8497 | 24(26) | 89,900 |
| 84C | 107.1764 | 89(89) | 92,900 |
| 84D | 105.5347 | 4(6) | 89,900 |
| 125A | 154.5757 | 113(18) | 151,800 |
| 125B | 154.6689 | 156(22) | 151,900 |
| 125C | 154.4441 | 14(3) | 148,300 |
| 150A | 185.9414 | 40(6) | 182,800 |
| 150B | 185.6482 | 6(2) | 179,500 |
| 157T | 196.1323 | 6(1) | 164,100 |
| 185 | 226.4260 | 37(5) | 233,500 |
| 205 | 249.8498 | 26(4) | 300,000 |
| 220T | 273.4748 | 4(0) | 259,000 |
| 247T | 307.8605 | 4(0) | 291,800 |
| [ 상무 센트럴 자이 아파트 공급 세대수 ] | |||||||
| 주택형 (타입 약식 표기) |
총 공급 세대수 |
기관 추천 | 다자녀 가구 |
신혼 부부 | 노부모 부양 |
생애 최초 | 일반 공급 |
| 84A | 200 | 20 | 20 | 36 | 6 | 18 | 100 |
| 84B | 50 | 5 | 5 | 9 | 2 | 5 | 24 |
| 84C | 178 | 18 | 18 | 32 | 5 | 16 | 89 |
| 84D | 10 | 1 | 1 | 2 | 1 | 1 | 4 |
| 125A | 131 | 14 | 4 | 113 | |||
| 125B | 178 | 18 | 4 | 156 | |||
| 125C | 17 | 2 | 1 | 14 | |||
| 150A | 46 | 4 | 2 | 40 | |||
| 150B | 8 | 1 | 1 | 6 | |||
| 157T | 7 | 1 | 6 | ||||
| 185 | 42 | 4 | 1 | 37 | |||
| 205 | 30 | 3 | 1 | 26 | |||
| 220T | 4 | 4 | |||||
| 247T | 2 | 2 | |||||
| 합계 | 903 | 44 | 91 | 79 | 28 | 40 | 621 |
청약 안내문 · 청약 유의사항 · 일반공급



특별공급 · 기관추천 · 다자녀 · 신혼부부 · 생애최초 · 노부모부양






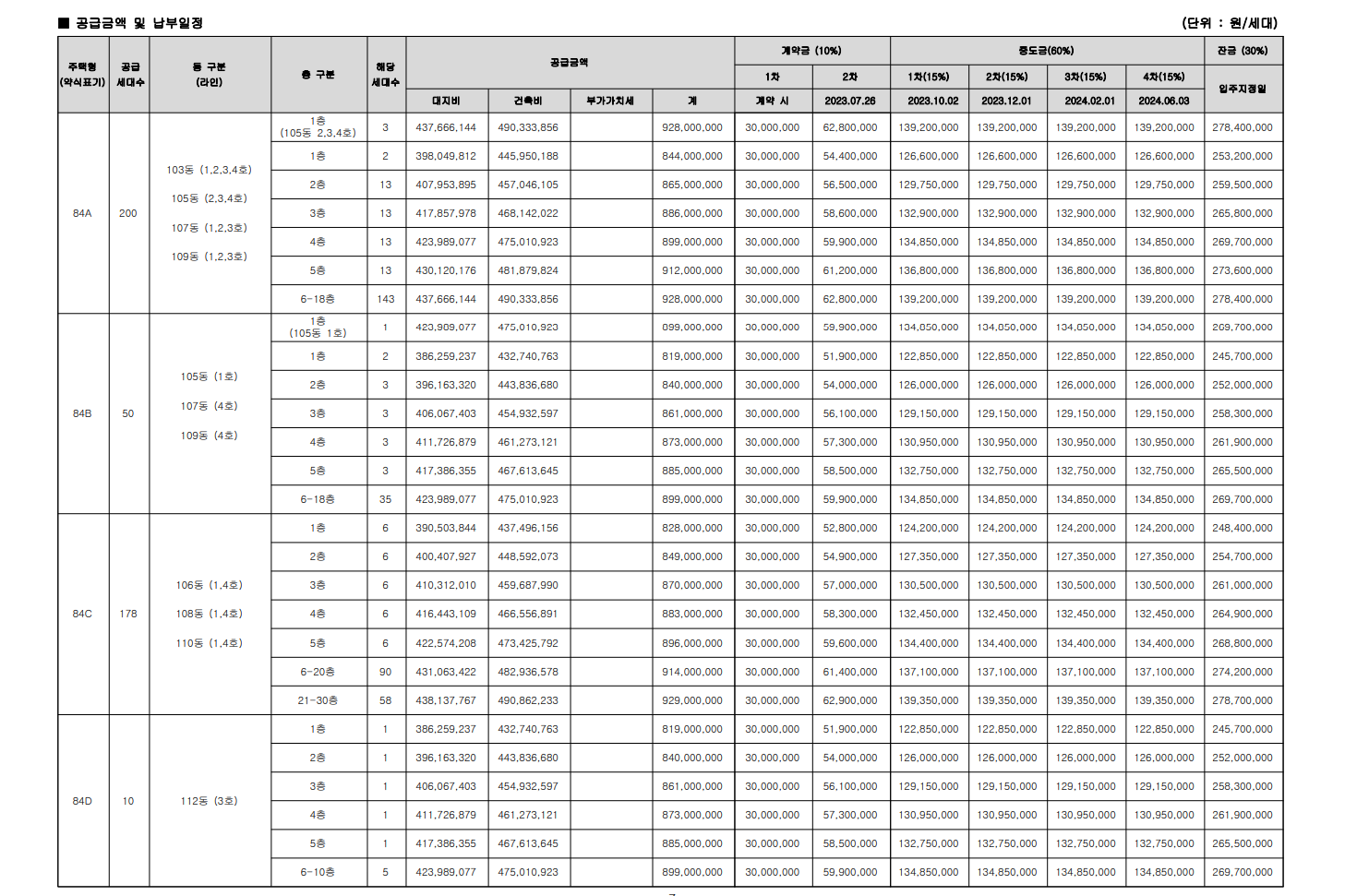
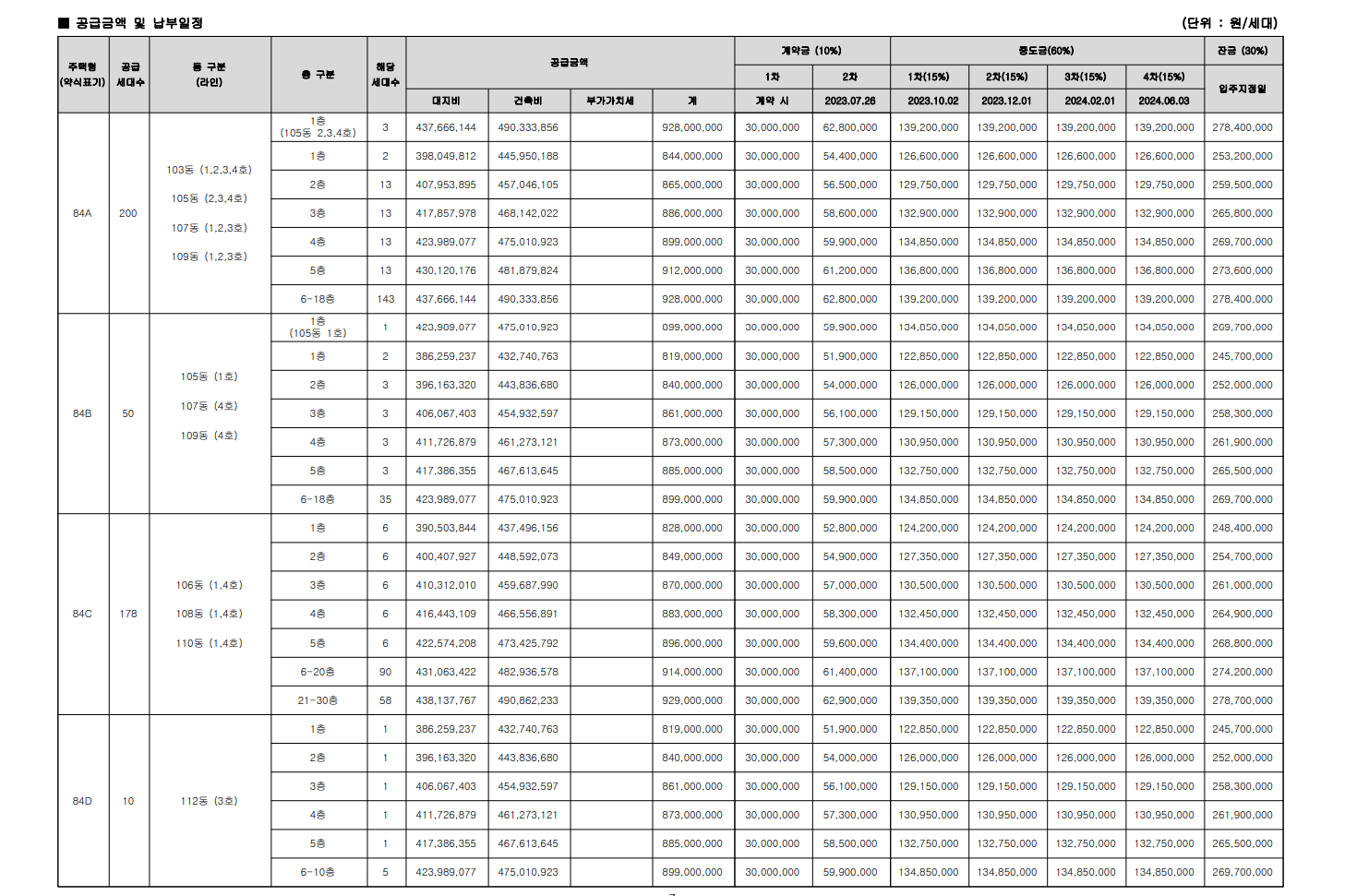
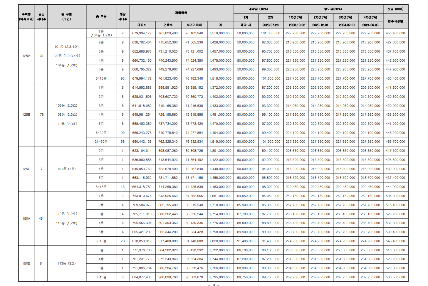
분양가
상무 센트럴 자이 아파트 분양가이다.
금회 공급하는 상무 센트럴 자이 아파트 발코니 확장비는 본 아파트 분양가 전부 포함되어 있다. 전 세대 발코니 확장 일괄 시공되는 점과 계약 시 추가 선택품목(유상 옵션)이 있으니 참고하기 바란다.
- 계약금 10%(1차 30,000,000원 / 2차 나머지 금액 2023년 7월 26일 납부)
- 중도금 60%(총 4회 차, 회차 별 15%, 이자후불제)
- 잔금 30%(입주 지정 일)
- 발코니 확장비 분양가 포함 및 전 세대 일괄 시공



입지 환경
상무 센트럴 자이 아파트 입지 환경이다.
- 광주 1호선 운천역 역세권 및 상무대로
- 서광 초등학교, 동명 중학교, 상일 중학교, 상무 고등학교 등 초 · 중 · 고 인접
- 1 · 2호선 환승역이 예정된 상무역 접근 편리
- 5·18 기념공원, 운천호수공원 등 쾌적한 도심 녹지

풍수지리
상무 센트럴 자이 아파트 풍수지리이다.

단지 특화
상무 센트럴 자이 아파트 단지 설계, 시스템, 클럽 자이안, 클럽 클라우드, 단지 조경 설계이다.







단지 · 동호수 배치도
상무 센트럴 아이 아파트 단지 배치도 및 동호수 배치도이다.


평면도
상무 센트럴 자이 아파트 평면도이다.
공급 면적 84㎡ ~ 247T㎡으로 구성되어 있으며, 타입 평면도는 금회 공급하는 상무 자이 센트럴 아파트 전용면적 평면도이니 참고하기 바란다.














유니트
상무 센트럴 자이 아파트 유니트 인테리어이다.
시공되는 타입별로 상이하다.

모델하우스(견본 주택) 오시는 길
- 현장 : 광주 서구 쌍촌동 600번지 일원
- 모델하우스(견본 주택) : 광주 서구 미륵동 162-85번지
