서울 새절역 두산위브 트레지움
2023년 5월 3일. 서울 새절역 두산위브 트레디움 아파트 입주자 모집 공고가 나왔다. 모델하우스(견본 주택) 개관을 하지 않아 새절역 두산위브 트레지움 아파트 관련 분양 및 청약 정보가 미흡하다. 우선, 입주자 모집 공고문을 토대로 분양가, 분양일정, 입지 환경에 대해서 자세히 알아보고, 추후에 관련 정보를 업데이트하도록 하겠다.
* 서울 새절역 두산위브 트레지움 모델하우스 예약제 운영
[ 서울 새절역 두산위브 트레지움 입주자 모집 공고 ]

[목차여기]
사업 개요
새절역 두산위브 트레지움 아파트 단지는 서울 신사 1 구역 주택 재건축정비사업조합을 통해 건축되는 단지이다. 위치는 서울시 은평구 신사동 170-12번지 일원에 위치해 있으며, 지하 2층 ~ 지상 18층, 6개 동으로 구성되었다. 공급되는 전용 면적은 59㎡ ~ 84㎡ 타입으로 국민 평형으로 갖춰졌으며 공급되는 세대수는 총 424세대 중 조합원 세대 189세대를 제외한 235세대가 일반 분양할 예정이다.


일반 · 특별 공급 세대수
금회 공급하는 서울 새절역 두산위브 트레지움 일반 공급 및 특별 공급 세대수이다.
| [ 서울 새절역 두산위브 트레지움 타입별 일반 공급 세대수_조합원 세대 제외] | ||
| 타입 약식 표기 | 총 공급 세대수 | 일반 공급 세대수 |
| 59 | 39 | 20 |
| 59T1 | 1 | 1 |
| 76 | 15 | 10 |
| 84A | 45 | 24 |
| 84B | 69 | 31 |
| 84C | 60 | 29 |
| 84AT | 1 | 1 |
| 84BT | 2 | 2 |
| 84CT2 | 3 | 3 |
| 세대수 합계 | 235세대 | 121세대 |
| [ 서울 새절역 두산위 트레지움 타입별 특별 공급 세대수_조합원 / 일반 공급 제외 ] | ||||||||
| 타입 | 총 세대수 | 기관 추천 | 다자녀 | 신혼부부 | 노부모 | 생애최초 | 계 | 저층 우선 배정 세대수 |
| 59 | 39 | 4 | 4 | 7 | 1 | 3 | 19 | 6 |
| 59T1 | 1 | - | - | - | - | - | - | - |
| 76 | 15 | 1 | 1 | 2 | - | 1 | 5 | 2 |
| 84A | 45 | 4 | 4 | 8 | 1 | 4 | 21 | 9 |
| 84B | 69 | 8 | 8 | 14 | 2 | 6 | 38 | 5 |
| 84C | 60 | 6 | 6 | 11 | 2 | 6 | 31 | 4 |
| 84AT | 1 | - | - | - | - | - | - | - |
| 84BT | 2 | - | - | - | - | - | - | - |
| 84CT2 | 3 | - | - | - | - | - | - | - |
| 합계 | 235 | 23 | 23 | 42 | 6 | 20 | 114 | 26 |
분양 일정
분양 일정은 다음과 같다.
- 2023년 5월 3일 입주자 모집 공고
- 2023년 5월 4일 모델하우스(견본 주택) 개관 / 예약제
- 2023년 5월 15일 아파트 특별 공급 청약 접수
- 2023년 5월 16일 아파트 일반 공급 1순위 청약 접수
- 2023년 5월 17일 아파트 일반 공급 2순위 청약 접수
- 2023년 5월 23일 아파트 청약 당첨자 발표
- 2023년 5월 23일 ~ 28일 아파트 청약 당첨자 자격검증 서류 접수 기간
- 2023년 6월 5일 ~ 7일 아파트 청약 당첨자 계약 체결 기간

모델하우스 방문 예약 신청하기
http://xn--hu1bo4e8xgi1cndn75alpbqpl9e5xgt54a.com/index.php?mc=e&md=01
새절역두산위브트레지움
DMC 위에 두산위브 서북부 미래가치를 DMC 위, 최중심에서 누리다.
xn--hu1bo4e8xgi1cndn75alpbqpl9e5xgt54a.com
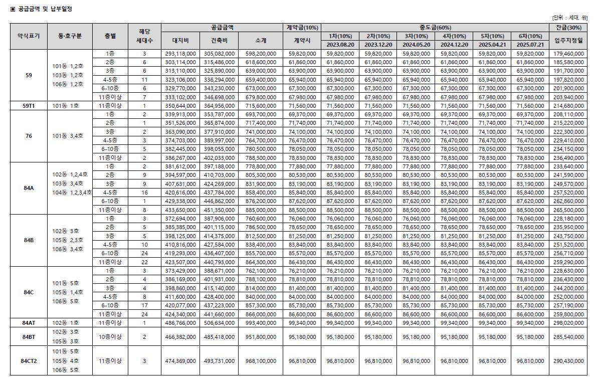
분양 가격
분양 가격이다.
84A타입 최고가 기준으로 평당 약 2700만 원에 형성되었다. 기본 분양 가격(공급 가격)과 발코니 확장비, 유상 옵션비를 합산하면 평당 약 2700만 원 중반에 형성될 것이다. 또한, 공급되는 아파트 단지의 타입 평형 및 층별에 따라 분양 가격이 상이하다는 점을 참고해야 한다.
| [ 서울 새절역 두산위브 트레지움 분양 정보_요약 ] | |||
| 타입 약식 표기 | 주택공급면적(㎡) (주거전용 + 주거공용) |
공급 세대수 일반 공급(특별 공급) |
공급 금액 (최고가 기준 - 단위 만 원) |
| 59 | 78.0532 | 20(19) | 67,980 |
| 59T1 | 78.0532 | 1(0) | 71,560 |
| 76 | 98.4538 | 10(5) | 78,830 |
| 84A | 108.3578 | 24(21) | 88,500 |
| 84B | 107.9441 | 31(38) | 86,430 |
| 84C | 108.6897 | 29(31) | 86,600 |
| 84AT | 108.3578 | 1(0) | 99,340 |
| 84BT | 107.9441 | 2(0) | 95,180 |
| 84CT2 | 108.6897 | 3(0) | 96,810 |


입지 환경
서울 새절역 두산위브 트레지움 입지 환경이다.
본 아파트의 가장 큰 장점은 지하철 6호선 새절역이 도보권에 위치해 있다. 새절역에는 신촌과 여의도를 거쳐 지하철 2호선 서울대 입구역을 잇는 경전철 '서부선'과 새절역 ~ 창릉신도시 ~ 고양시청을 연결하는 '고양 은평선' 사업이 추진되고 있어 향후 트리플 역세권을 누릴 수 있다.
또, 인근 연신내역에는 GTX-A노선이 개통될 예정으로 향후 GTX를 이용하게 되면 은평에서 서울역까지 5분, 강남까지 약 10분이면 이동이 가능해진다.
주변 편의 시설 및 생활 시설로는 새절역 두산위브 트레지움 아파트 단지 반경 2km 이내에 상암 DMC(디지털미디어시티)를 두고 있다. 직주근접성도 매우 뛰어나며, 이마트 은평점과 수색점, NC백화점 불광점, 은평 세무서, 은평 구청, 은평 성모병원, 서울시립서북병원 등의 다양한 생활 편의 시설이 위치해 있다.


모델하우스(견본 주택) 오시는 길
- 현장 : 서울시 은평구 신사동 170-12번지 일원
- 모델하우스(견본 주택) : 경기도 고양시 덕양구 덕은동 271-1번지
- 셔틀버스 운영 안내
- 출발지 : DMC역 2번 출구(배차 간격 매 시간 30분 출발)
- 출발지 : 견본 주택 인근(배차 간격 매 시간 45분 출발)

