
순천 그랜드파크 자이
2024년 06월 14일 금요일. 전남 순천에 위치한 '순천 그랜드파크 자이' 아파트 입주자 모집공고가 나와 안내해 드립니다. 순천 그랜드파크 자이 아파트 청약 예정자 분들께서는 본 게시글에 업로드되는 청약 및 분양 자료, 입주자 모집공고를 참고하시기 바랍니다.
그럼, 순천 그랜드파크 자이 아파트 분양정보에 대해서 알아보도록 하겠습니다.
[ 순천 그랜드파크 자이 아파트 입주자 모집공고 ]
[목차여기]
사업개요 · 공급 세대수
순천 그랜드파크 자이 아파트 사업개요
순천 그랜드파크 자이 아파트 단지는 전남 순천시 풍덕동 327-3번지 일원에 위치해 지하 2층, 지상 27층 ~ 29층, 아파트 9개 동, 공급 전용 면적 84㎡ ~ 206㎡P 다양한 평면 및 타입, 총 997세대 규모로 2027년 07월 아파트 입주 예정입니다.
- 사업명 : 순천 그랜드파크 자이
- 대지 위치 : 전남 순천 풍덕동 327-3번지 일원
- 공급 규모 : 지하 2층, 지상 29층, 아파트 9개 동
- 공급 세대 : 총 997세대(특별 공급 347세대, 일반 공급 650세대)
- 공급 면적 : 84㎡ / 102㎡ / 110㎡ / 115㎡ / 130㎡ / 206㎡
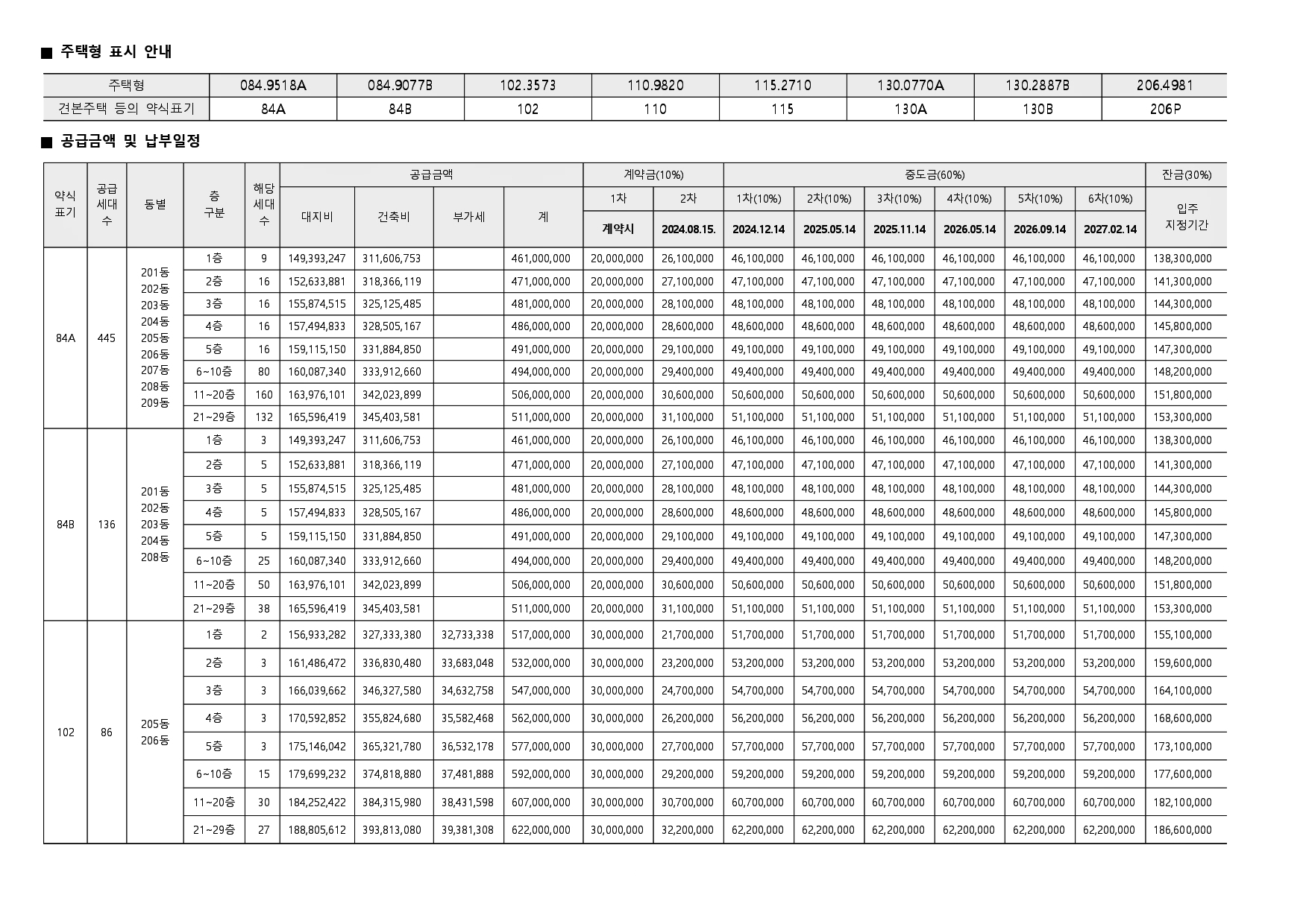
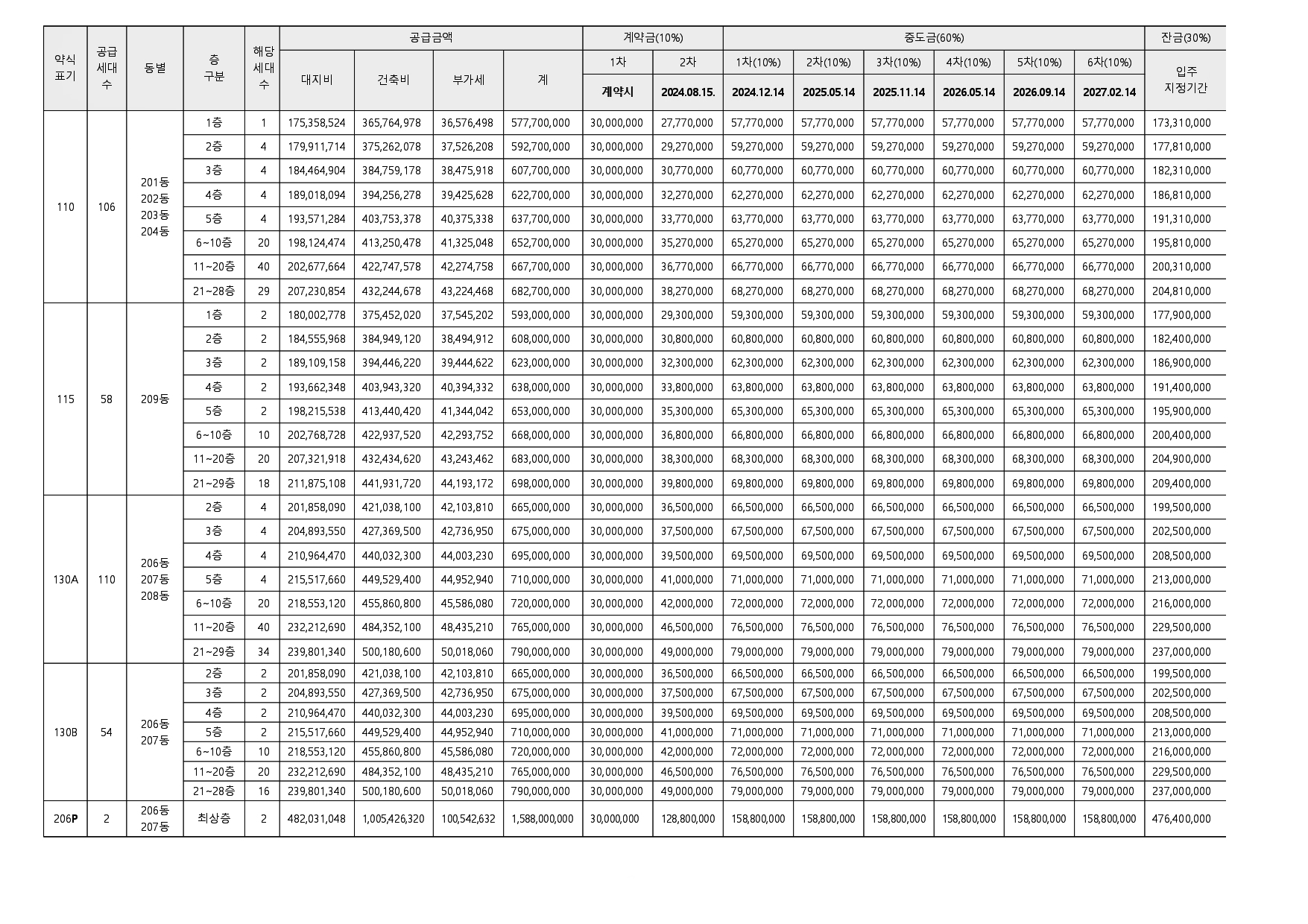
| [ 순천 그랜드파크 자이 아파트 공급 세대수 ] | |||||||
| 주택형 (타입 약식 표기) |
총 공급 세대수 |
기관 추천 | 다자녀 가구 |
신혼 부부 | 노부모 부양 |
생애 최초 | 일반 공급 |
| 84A | 445 | 45 | 45 | 80 | 13 | 40 | 222 |
| 84B | 136 | 14 | 14 | 25 | 4 | 13 | 66 |
| 102 | 86 | 9 | 3 | 74 | |||
| 110 | 106 | 10 | 4 | 92 | |||
| 115 | 58 | 6 | 2 | 50 | |||
| 130A | 110 | 10 | 2 | 98 | |||
| 130B | 54 | 6 | 2 | 46 | |||
| 206P | 2 | 2 | |||||
| 합계 | 997 | 59 | 100 | 105 | 30 | 53 | 650 |


분양 일정
순천 그랜드파크 자이 아파트 분양 일정

- 입주자 모집공고 : 2024년 06월 14일 금요일
- 모델하우스(견본 주택) 개관 : 2024년 06월 14일 금요일
- 특별 공급 청약 접수 : 2024년 06월 24일 월요일
- 1순위 일반 공급 청약 접수 : 2024년 06월 25일 화요일
- 당첨자 발표 : 2024년 07월 02일 화요일
- 계약 체결 : 2024년 07월 15일 월요일 ~ 07월 17일 수요일
일반 · 특별 공급 청약
순천 그랜드파크 자이 아파트 일반 공급 및 특별 공급 청약 안내
청약 체크 포인트

일반 공급 청약 안내

기관추천 · 신호부부 · 다자녀 · 생애최초 · 노부모부양






분양가 · 발코니 확장비
순천 그랜드파크 자이 아파트 분양가 및 발코니 확장비
- 계약금 10%(정액제, 1차 30,000,000원, 2차 계약금의 나머지 금액)
- 중도금 60%(총 6회, 각 회차 별 10%)
- 잔금 33%(입주지정일)
- 발코니 확장 및 유상 옵션 별도
| [ 순천 그랜드파크 자이 아파트 분양가 ] | ||
| 주택형 (타입 약식 표기) |
주택공급면적(㎡) (주거 전용 + 주거 공용) |
공급 금액 (최고가 기준 - 단위 만 원) |
| 84A | 109.62 | 51,100 |
| 84B | 110.83 | 51,100 |
| 102 | 131.96 | 62,200 |
| 110 | 144.29 | 68,270 |
| 115 | 148.88 | 69,800 |
| 130A | 166.62 | 79,000 |
| 130B | 169.20 | 79,000 |
| 206P | 268.95 | 158,800 |


발코니 확장
- 계약금 10%(계약 시)
- 중도금 20%(2024.12.14)
- 잔금 70%(입주지정기간)

입지 환경
순천 그랜드파크 자이 아파트 입지 환경
✅ 교통 환경 : 순천터미널을 이용해 좌석버스를 이용하기 쉬우며, 순천역을 통해 SRT와 KTX를 이용할 수 있습니다. 순천IC와도 가까이 있어 다른 지역으로의 이동이 편리합니다.
✅ 교육 환경 : 풍덕초교가 있으며, 인근에 다양한 학원가가 형성되어 있어 교육환경이 우수합니다.
✅ 생활 환경 : 홈플러스, 이마트 등의 대형마트가 자리 잡고 있어 편하게 쇼핑이나 외식을 즐길 수 있으며, 운동장과 같은 여가생활을 즐길 수 있는 시설도 이용하기 편리합니다.
✅ 자연 환경 : 순천만국가정원, 온천그린광장, 동천 등의 천혜의 자연환경과 인접해 있어 그린 라이프를 즐길 수 있습니다.


단지 안내
순천 그랜드파크 자이 아파트 단지 조경 및 커뮤니티 시설 등







단지 배치도 · 동호수 배치도
순천 그랜드파크 자이 아파트 단지 배치도 및 동호수 배치도


평면도
순천 그랜드파크 자이 아파트 평면도
순천 그랜드파크 자이 아파트 공급 면적 84㎡타입 ~ 206㎡ P타입 평면도입니다.








청약 신청 자격 및 유의사항
✅ 입주자 모집공고일[2024년 06월 14일 금요일] 현재 순천시, 전라남도 및 광주광역시 거주하는 만 19세 이상인 분 또는 세대주인 미성년자(자녀양육, 형제자매부양)
✅ 주택소유 여부 상관없이 다주택자 1순위 청약 신청 가능
✅ 전매제한 및 재당첨제한 없음
✅ 입주자저축에 가입하여 가입기간이 6개월 경과하고 지역 및 면적별 청약 예치금액 이상 납입한 분
✅ 해당 주택건설지역(전라남도 순천시)은 「주택법」 제63조 및 제63조의2에 의한 비투기과열지구 및 비청약과열지역으로서, 본 아파트는 「주택공급에 관한 규칙」에 따라 1주택 이상 소유한 세대에 속한 분도 1순위 자격이 부여됩니다.
✅ 해당 지역 : 전라남도 순천시 거주자 / 기타 지역 : 순천시를 제외한 전라남도 및 광주광역시 거주자 / 비규제지역 / 재당첨제한 없음 / 전매제한 없음 / 거주의무기간 없음
모델하우스(견본 주택) 오시는 길
- 모델하우스(견본 주택) : 전남 순천시 풍덕동 305번지
