
청주 센텀 푸르지오 자이 사후 무순위 청약 완벽 정리
청주 센텀 푸르지오 자이 기본 정보
청주 센텀 푸르지오 자이는 청주의 신흥 주거 중심지로 주목받고 있는 대규모 아파트 단지다. 위치적으로는 청주시 중심과 가까워 교통 접근성이 우수하며, 생활 인프라와도 맞닿아 있어 실수요자와 투자자 모두의 관심을 끌고 있다. 단지는 대단지 규모로 구성되어 있어 단일 커뮤니티 안에서 안정적인 생활이 가능하며, 평형대도 소형에서 중대형까지 고르게 분포해 다양한 수요층을 아우른다. 시공은 대우건설과 현대건설이 맡아 브랜드 가치와 시공 안정성을 동시에 확보했다. 분양가는 공급 초기부터 합리적인 수준으로 책정되어 주변 아파트 시세와 비교해 경쟁력이 있다는 평가를 받아왔다. 특히 준공 이후 시세 흐름은 청주 내 주요 아파트와 유사하게 안정적인 흐름을 이어가고 있으며, 청주 센텀 푸르지오 자이 무순위 청약은 이 같은 가격 안정성과 미래 가치를 고려할 때 충분히 매력적인 기회라 할 수 있다. 그럼 청주 센텀 푸르지오 자이 사후 무순위 청약에 대해서 알아보도록 하겠다.
[ 청주 센텀 푸르지오 자이 사후 무순위 청약 입주자 모집 공고 ]


교통 환경 분석
청주 센텀 푸르지오 자이 교통 환경은 현재와 미래 모두에서 긍정적인 요인을 갖추고 있다. 청주 시내 주요 도로망과 가까워 자차 이동이 편리하며, 광역 버스 노선이 인접해 있어 세종, 대전, 충북권 타 지역으로의 접근성도 좋다. 향후 충북선 고속철도 청주 도심 통과 계획이나 청주도시철도 논의 등은 장기적으로 지역 가치에 영향을 줄 중요한 교통 호재다. 특히 청주 센텀 푸르지오 자이 무순위 청약을 준비하는 실수요자라면 출퇴근 시간을, 투자자라면 교통 개발 계획이 시세에 미칠 영향을 꼼꼼히 따져봐야 한다. 교통망은 아파트의 유동성과 환금성을 좌우하는 핵심 요인이기 때문이다.
학군 및 생활 인프라
청주 센텀 푸르지오 자이가 위치한 생활권은 학군과 생활 인프라가 균형 있게 자리 잡고 있다. 인근에는 초등학교, 중학교, 고등학교가 밀집해 있어 자녀 교육 여건이 우수하다. 청주가 교육열이 높은 지역이라는 점을 고려하면, 학군 프리미엄은 실거주 수요에 있어 중요한 요소다. 생활 인프라 측면에서도 대형마트, 병원, 공원 등 기본적인 생활 편의시설이 가까워 실수요자 만족도가 높다. 도심 접근성 덕분에 문화생활과 행정 서비스 이용도 수월하다. 청주 센텀 푸르지오 자이 무순위 청약은 이런 인프라를 이미 갖춘 입지이기에, 단순히 새 아파트라는 점을 넘어선 실거주 가치가 뚜렷하다.
개발 호재 및 미래 가치
청주 센텀 푸르지오 자이 미래 가치는 주변 개발 계획과 맞물려 더욱 높아질 가능성이 크다. 청주시는 충북도청 이전, 청주테크노폴리스, 오송 바이오밸리 등 대형 개발 사업으로 꾸준히 성장세를 이어가고 있다. 이런 성장 동력이 생활권에 확산될수록 주거 수요는 증가하게 되고, 자연스레 아파트 시세에도 긍정적 영향을 준다. 특히 청주 센텀 푸르지오 자이 무순위 청약은 기존 분양 시 놓친 이들에게 두 번째 기회이자, 장기적으로 상승 여력을 안고 있는 선택지다. 교통 호재와 지역 개발이 맞물리면 향후 시세 전망은 현재보다 더욱 긍정적으로 평가될 가능성이 높다.







투자자 vs 실거주자 관점
투자자 장단점
장점: 무순위 청약으로 접근 시 초기 비용 부담이 줄어들 수 있으며, 교통 개발 및 지역 성장에 따른 장기 시세 차익을 기대할 수 있다. 또한 브랜드 프리미엄이 있어 환금성이 뛰어나다. 단점: 단기 시세 차익을 노리기에는 현재 금리 환경과 거래량 감소가 부담 요인이다. 또한 공급 물량에 따라 지역 시장 변동성이 커질 수 있다.
실거주자 장단점
장점: 우수한 학군, 안정적인 생활 인프라, 브랜드 아파트의 쾌적한 주거 환경을 누릴 수 있다. 장기 거주 시 자산 가치 상승까지 동시에 기대할 수 있다. 단점: 무순위 청약 특성상 선호도 높은 평형이나 동·호수는 이미 소진된 경우가 많아 선택지가 제한적일 수 있다. 또한 교통 호재가 완전히 실현되기까지는 시간이 필요하다.
투자자 관점: 장기 보유 vs 단기 매매
청주 센텀 푸르지오 자이를 투자자 관점에서 본다면, 장기 보유와 단기 매매 전략은 각각 다른 장단점을 가진다.
- 장기 보유 장점: 지역 개발 호재와 인프라 확충에 따른 시세 상승을 충분히 누릴 수 있다. 안정적인 임대 수요도 기대할 수 있어, 임대 수익과 시세 차익을 동시에 확보할 가능성이 높다.
- 장기 보유 단점: 보유세와 관리비 등 유지 비용 부담이 크며, 단기간의 유동성 확보에는 한계가 있다.
- 단기 매매 장점: 초기 무순위 청약으로 시세 차익을 빠르게 실현할 수 있다. 분양가 대비 주변 시세 차이를 활용해 단기 수익을 기대할 수 있다.
- 단기 매매 단점: 현재 금리 수준과 거래량 둔화로 인해 단기 매매 수익 실현은 쉽지 않다. 또한 규제 변화에 따라 시장 환경이 불리해질 수 있다. 결국 투자자라면 자신의 자금 상황과 시장 흐름을 감안해 전략을 세워야 한다.
청주 센텀 푸르지오 자이 단지 및 동호수 배치도


청주 센텀 푸르지오 자이 평면도












청주 센텀 푸르지오 자이 사후 무순위 청약 분양일정
- 최초 입주자 모집공고일 : 2025. 07. 23(수)
- 무순위(사후) 입주자 모집공고일 : 2025. 09. 03(수)
- 무순위(사후) 청약 접수일 : 2025. 09. 08(월)
- 아파트 당첨자 발표일 : 2025. 09. 11(목)
- 당첨자 서류접수일 : 2025. 09. 12(금)
- 당첨자 계약 체결일 : 2025. 09. 19(금)

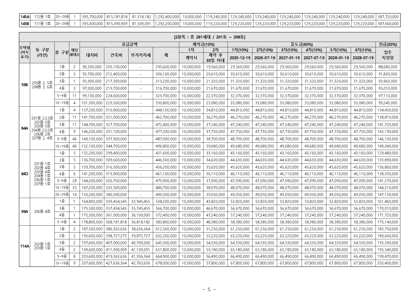
청주 센텀 푸르지오 자이 사후 무순위 청약 분양가



청약 자격과 기본 조건
청주 센텀 푸르지오 자이 무순위 청약은 전국 거주 무주택 세대 구성원이라면 신청할 수 있다 . 청약통장 보유 여부와 상관없이 참여 가능하다는 점은 기회 확대 요인이다. 다만 외국인은 세대원으로 인정되지 않아 신청할 수 없으며, 모집공고일 기준 90일 이상 해외 체류자는 국내 거주자로 간주되지 않아 자격에서 제외된다 . 또한 동일 단지에서 이미 당첨 이력이 있거나 계약을 포기한 경우, 또는 부적격 판정을 받은 경우에는 청약 신청이 제한된다. 즉, 무순위 청약이라고 해서 모든 이에게 열려 있는 것은 아니며, 세대원 전원의 무주택 여부를 반드시 확인해야 한다.
청약 신청 및 당첨자 발표
청약은 오직 청약홈(PC·모바일)에서만 가능하다 . 현장 접수는 일절 불가하며, 공동인증서 또는 금융인증서를 통한 본인 인증 절차가 필수다. 청약 신청은 1인 1건만 가능하며, 중복 신청 시 모두 무효 처리된다. 당첨자는 한국부동산원 시스템을 통한 무작위 추첨으로 선정되며, 공급 세대수의 최대 900%까지 예비입주자가 배정된다 . 당첨 발표는 청약홈을 통해 확인해야 하며, 문자 안내는 보조적인 수단일 뿐 법적 효력이 없으므로 반드시 본인이 직접 확인해야 한다.
계약 및 납부 절차
청주 센텀 푸르지오 자이 무순위 청약 당첨자는 정해진 일정에 따라 서류 제출과 계약을 체결해야 한다. 계약 시에는 주민등록등본, 초본, 가족관계증명서, 인감증명서, 출입국사실증명원 등 다수의 서류가 필요하며, 모든 서류는 공고일 이후 발급분이어야 한다 . 분양대금은 계약금(10%) – 중도금(60%) – 잔금(30%) 구조로 납부하며, 세대별로 부여되는 가상계좌로 입금해야 한다. 현금이나 수표는 수납되지 않고, 반드시 무통장 계좌이체만 인정된다 . 계약금을 지정 계좌가 아닌 다른 방식으로 납부할 경우 효력이 없으므로 각별히 주의해야 한다.
발코니 확장 및 옵션 비용
발코니 확장은 별도 계약 사항으로, 세대별로 지정된 가상계좌에 계약금·중도금·잔금을 분리 납부해야 한다 . 아파트 분양대금을 전액 납부했더라도 발코니 확장비를 완납하지 않으면 입주가 불가능하다는 점을 반드시 확인해야 한다. 또한 플러스 옵션은 최초 모집공고 기준으로 확정되어 있어 변경이 불가하다.
불법 행위 및 계약 취소 사유
무순위 청약이라도 위장전입, 불법 전매, 통장 매매 등 부정 행위가 적발되면 당첨이 취소되고, 향후 최대 10년간 청약 제한을 받을 수 있다 . 또한 계약 체결 이후 부적격 사유가 확인될 경우, 계약은 일방적으로 해지되며 이미 납부한 인지세와 각종 비용도 환불받을 수 없다.
세금 및 행정 신고 의무
청주 센텀 푸르지오 자이 무순위 청약 계약자는 부동산 거래신고법에 따른 자금조달계획서와 입주계획서를 반드시 제출해야 한다. 거래금액이 6억 원 이상일 경우 의무가 적용되며, 미제출 시 과태료가 부과될 수 있다 . 또한 공급계약서, 발코니 확장 계약서 등은 인지세 납부 대상이며, 계약일이 속한 달의 다음 달 10일까지 전자수입인지를 구매·첨부해야 한다 .

청주 최근 시세 흐름
청주 아파트 시장은 최근 안정세 속에서 점진적인 회복세를 보이고 있다. 특히 청주 센텀 푸르지오 자이를 포함한 신축 단지는 매매 수요와 전세 수요 모두 꾸준히 유지되는 편이다. 매매가는 일부 지역에서 소폭 반등하며 하락세가 둔화된 분위기다. 흥덕구, 청원구 등 신흥 주거지에서는 신축 아파트 중심으로 거래가 이어지고 있다. 전세가는 매매가 하락 속도를 따라가면서 전세가율이 높아지는 모습이다. 청주 전세가율은 평균 70% 안팎이지만, 일부 인기 단지에서는 80%를 넘기도 한다. 거래량은 여전히 예년 대비 낮은 수준이지만, 실수요 중심의 거래는 꾸준히 발생하고 있다. 이는 투자 목적보다는 실거주 목적의 매수세가 시장을 지탱하고 있음을 보여준다.
주요 단지별 시세 비교
청주 아파트 시장에서 신축과 구축의 격차는 점점 뚜렷해지고 있다. 신축 단지인 청주 센텀 푸르지오 자이는 브랜드 가치와 입지적 장점을 바탕으로 안정적인 시세를 형성하고 있다. 입주 초기 분양가 대비 상승폭이 크지 않더라도, 실거주 만족도와 향후 개발 호재를 반영하며 가격 방어력이 강하다. 구축 단지의 경우, 리모델링이나 재건축 기대감이 없는 이상 신축 대비 거래가 둔화되고 가격도 정체되는 분위기다. 같은 생활권이라도 신축 단지와 구축 단지의 매매가 차이는 점차 벌어지는 추세다. 인기 단지 시세 차트를 비교하면, 청주 센텀 푸르지오 자이 같은 대단지 브랜드 아파트가 중소규모 단지보다 프리미엄을 유지하는 모습을 확인할 수 있다. 이는 시장 내에서 브랜드 가치와 입지 경쟁력이 실제 시세에 반영되고 있다는 방증이다.
정책 및 금리 변화의 영향
청주 아파트 시장의 흐름은 정부 정책과 금리 변동에 민감하게 반응한다. 최근 정부의 청약 규제 완화, 세금 부담 경감, 대출 규제 완화는 무주택자와 실수요자의 매수 심리를 회복시키는 역할을 하고 있다. 반대로 금리 인상기에는 대출 부담이 커지면서 거래량이 급감했으나, 최근 금리 안정 기조와 추가 인하 가능성이 거론되면서 다시금 매수세가 살아나고 있다. 특히 청주 센텀 푸르지오 자이 같은 대규모 신축 단지는 금리 안정과 정책 지원 효과가 맞물릴 경우, 매매 수요와 전세 수요 모두 긍정적으로 반응할 가능성이 크다.
향후 전망
청주 아파트 시장은 단기와 장기 전망에서 뚜렷한 차이가 있다. 단기 전망: 금리 변동성과 경기 불확실성으로 단기적인 매매가 상승 폭은 제한적일 수 있다. 다만 전세가율이 높아지면서 전세 수요가 매매 전환으로 이어질 가능성이 있어, 거래량은 점진적으로 회복될 수 있다. 장기 보유 전략: 청주는 충북도청 이전, 오송 바이오밸리, 청주테크노폴리스 등 개발 호재가 풍부하다. 이들 사업이 본격화되면 청주 센텀 푸르지오 자이의 입지 가치는 더욱 높아지고, 장기적으로 시세 상승의 기반이 마련될 가능성이 크다.
결론 : 청주 센텀 푸르지오 자이 무순위 청약 주의사항 핵심
정리하면, 이번 무순위 청약은 실거주자와 투자자 모두에게 매력적인 기회지만, 다음 다섯 가지는 반드시 유의해야 한다.
- 무주택 세대 여부 및 해외 체류 요건 확인
- 청약 신청은 1인 1건만 가능, 중복 신청 시 무효
- 계약금·중도금·잔금 납부 방식은 지정 계좌로만 가능
- 발코니 확장비 완납 후 입주 가능
- 불법 전매, 위장전입 등 적발 시 계약 해지 및 10년간 청약 제한
철저히 준비하고 법적 절차를 준수한다면, 청주 센텀 푸르지오 자이 무순위 청약은 안정성과 미래 가치를 동시에 잡을 수 있는 기회가 될 것이다.
청주 센텀 푸르지오 자이 사후 무순위 청약은 청주 지역에서 새 아파트를 찾는 이들에게 중요한 기회다. 입지, 교통, 학군, 생활 인프라, 개발 호재까지 종합적으로 안정적인 조건을 갖추고 있으며, 브랜드와 규모 면에서도 경쟁력이 뚜렷하다. 다만 무순위 청약은 제한된 물량 공급이라는 특성이 있어, 원하는 조건을 반드시 얻기 어렵다는 점을 감안해야 한다. 또한 단기 시세 차익을 노리는 접근보다는 장기적인 거주와 가치 상승을 바라보는 것이 현명하다. 결론적으로, 청주 센텀 푸르지오 자이 무순위 청약은 실수요자에게는 주거 만족도를, 투자자에게는 미래 가치를 동시에 기대할 수 있는 기회라 할 수 있다. 단, 각자의 상황과 목적에 맞게 철저히 전략을 세운 뒤 청약에 나서는 것이 성공의 열쇠다.
